极悦开户平台

English 极悦开户平台集团企业邮箱

第二节 离散趋势指标

作者:徐荣祥 出书社:中国科学技术出书社 刊行日期:2009年7月

离散(dispersion)趋势指标指的是计量资料所有视察值偏离中心位置的水平(measures of variation)。描述离散趋势的主要统计指标有全距(range,R)、方差(variance)、尺度差(standard deviation)、变异系数(coefficient of variation)等。
一、全距
全距又称极差,以符号R体现。R即是一个变量的所有视察值中最大值(maximum,Max)与最小值(miximum,Max)之间的差值。计算公式为(368):R=Max-Max。当计算计量单元相同的变量时,全距越大,视察值的离散水平越大。
如一组烧伤病人的最大烧伤面积为90%TBSA,最小面积为10%TBSA,按公式(368)计算,R=90-10=80%TBSA。
二、方差
方差是离均差平方和的平均值,方差的巨细只与视察值离散水平有关,而与视察值个数的几多无关。样本方差以符号S2体现,是总体方差的预计值,按公式(369)计算:

式中∑(X-X)2为离均差平方和, n-1为自由度(n′)。因总体方差不易得到,实际事情中常用样本方差作为总体方差的预计。
方差多用于方差分析或两个样本尺度差合并计算之用。如甲组25人,尺度差为28,乙组46人,尺度差为22,两组合并尺度差公式为(369):

三、 尺度差
凭据上述见解,全距系指一组变量值中最大值与最小值的差;尺度差则体现这一组变量值漫衍的离散水平。为进一步说明其离散水平,试看下面这两组数据:
A组:80、90、100、110、120(平均数=100)
B组:98、99、100、101、102(平均数=100)
这两组数值的均数都是100,但是变量值的颠簸范围却有很大差异,A组数据最大值与最小值之差(全距)为40(120~80),B组数据最大值与最小值之差(全距)为4(102~98)。由此可见,A组数据的颠簸范围比B组大得多。故均数不能完全说明事物内部的实质,需要用尺度差来综合分析。目前认为反映数据精确度较为完善的指标就是尺度差。
又如:甲组5例病人的烧伤总面积分别为90%、80%、70%、21%、9%TBSA,平均为54%TBSA;乙组5例病人的烧伤总面积分别为100%、49%、49%、36%、36%TBSA,平均值也为54%TBSA,但甲组特重度病人有3例,乙组仅有1例。两组均值虽然相等,但并无同质性和可比性,同时也可看出尺度差的重要性。因为尺度差是一个个体数据偶然性颠簸巨细的尺度尺度,尺度差大,体现个体数据颠簸性大,尺度差小,体现个体数据颠簸性小。
四、尺度差计算
1直接计算公式(3610):

S为尺度差,∑Χ2为变量值平方后的和,(∑x)2是变量值总和后的平方,n为变量个数。
示例365:测得9例创面出血病人的血小板数量分别为:30、50、40、40、50、40、30、50、149(×109/L),求它们的尺度差。
【解题步骤】
先分别求出公式(3610)中的∑Χ2和(∑Χ)2/n,及n-1值,然后代入公式。
因为∑Χ2为变量值平方后的和,即:
∑Χ2=302+502+402+402+502+402+302+502+1492=36301
[(∑Χ)2]/n=(30+50+40+40+50+40+30+50+149)2/9=254934
(n-1)为(9-1)=8
代入公式(3610),得:

答:9例创面出血病人的血小板尺度差为36755×109/L。
2大样本加权法公式
计算大样本资料,应绘制频数表资料,凭据公式(3611)计算尺度差:

式中∑fX为各组段X与本组段频数乘积之和,∑fΧ2为各组段fx与本组段X乘积之和。
示例366仍以例362为例,即某院视察了110例特重度烧伤病人的血液血红卵白含量,其浓度范围在115~150 g/L之间,求其尺度差。
【解题步骤】
凭据表362中提供的数据,将(∑f)=110、(∑fX)=13194、(∑fΧ2)=1584990代入公式(3611),得:

结果:110例烧伤病人的血红卵白尺度差为472g/L。
五、变异系数
在统计学上将变量值间的差异称为变异,表明这种变异的指标有全距、尺度差和变异系数。如上所述,尺度差的作用是用来确定两组数据的颠簸水平,一般情况下,哪一个尺度差大,哪一组的数据颠簸范围也大;哪一个尺度差小,其颠簸范围也小。但是,当比力差异类型的数据时,如身长与体重,或两个平均数相差较大时,若直接用尺度差判断它们的颠簸水平就不妥当了,因为尺度差只能反映绝对颠簸巨细,不能反映相对颠簸巨细。这种表达相对数颠簸巨细的指数称为变异系数,用cv或ν体现。该指标也可理解为用百分比体现的尺度差,即尺度差(s)与均数(X)之比。其公式为(3612):

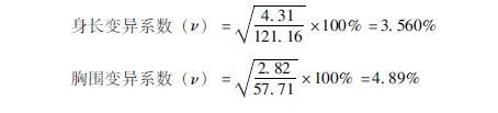
示例367某院视察了7岁男孩身高均数为12116cm,尺度差为431cm,胸围均数5771cm,尺度差为282cm。比力两者的变异水平。
【解题步骤】
凭据公式(3612),分别求身长变异系数和胸围变异系数:

答:本例身长均数明显大于胸围均数,若与尺度差直接比力,胸围的变异系数似乎小于身长,但经过变异系数计算,结论为胸围的变异水平并不比身长变异水平小。由此可见,身长的变异水平比胸围稳定。
六、尺度误
因为均数的尺度误与样本尺度差相似,都是说明离散水平的指标,故在此作一介绍。变异系数均数尺度误有两种,一种是总体尺度误,一种是样本尺度误。总体尺度误(σx)和样本尺度误(sx、SE、SEM)是体现均数误差水平的指标。在医学研究中,常在总体中抽出一部门作为样本,然后再凭据样本的视察结果推论总体情况。但是,由于在同一总体中的个体之间一定存在着差异(如同是50%TBSA烧伤),样本均数与总体均数之间存在差异,各个样本均数之间一定发生差异,谓之尺度误(sx),是由抽样引起的。尺度误越小,说明样本均数与总体均数越接近,用样本均数推论总体均数的可能性越大;反之,尺度误越大,说明用样本均数推论总体均数的可能性越小。故均数尺度误是测定样本均数变异范围的尺度。在医学资料中,常用样本均数±尺度误的形式(x±sx)体现资料的可靠水平。一般来说,在x±1×sx的范围内,总体均数泛起的概率为683%;在x±2×sx的范围内,总体均数泛起的概率为95%,或者说有95%以上的掌握可认为总体均数在这个范围之内,也可认为重复同样实验100次,得出100个均数,会有95%以上的均数漫衍在x±2×sx的范围内。公式(3613)为:

sx为尺度误,s为样本尺度差,n为样本个数。
示例368某院抽查了100例病人的血液红细胞数量,其样本均值为50×109/L,样本尺度差为246×109/L,求其尺度误。
【解题步骤】
凭据公式(3613),求得:

答:本例样本尺度误为0246(×109/L),资料的可靠水平为50±0246(×109/L)。
七、平均数、尺度差、尺度误的应用
1体现正常范围如体温、脉搏,血压,红细胞,白细胞等正常值等计算均需要尺度差的加入。正常值范围一般是以平均数±2个尺度差作为划定界限,现以红细胞为例说明这个问题。如我们所求得的健康男子红细胞平均值为50×109/L,尺度差为25×109/L,则正常男子红细胞的正常值可定为50±2×25,即45×109/L~55×109/L范围内。但应注意,在应用此要领时,变量的漫衍必须是正态漫衍,如属于非正态漫衍者,应接纳其他要领计算。
2预计受试工具所需样本数
(1)利用尺度误公式推算样本数:
示例369某医院测定了80名严重烧伤患者早期血液肌酐(Cr)含量,测定结果:均数(x)=1548μmmol/L,尺度差(s)=158μmmol/L ,尺度误=1778μmmol/L, 即目前95%的置信限为1548±354μmmol/L ,欲求95%的置信限在158±20μmmol/L的范围内,需要视察几多例才气泛起这种结果?
【解题步骤】
①凭据尺度误计算公式(3613)推算样本数(n),公式为(3614):

②因为95%的置信限为x±2×sx,今求2×sx=20,即sx=10。把有关数据代入公式(3614),得:

③结论:若把视察人数增加到250人,可能使置信限范围到达1548±20μmol/L 。
(2)利用两合并尺度差推算样本数:
示例3510某医生用某药治疗粒细胞减少症,为视察某药物用口服要领及肌肉注射要领对最高疗效泛起时间(天)的影响。凭据预备试验结果,口服法最高疗效泛起的平均时间为222天,肌肉注射法为175天,合并尺度差(s)为1391天。问各组需视察几多例才气使两组均数的差异有显著意义?   
【解题步骤】
①本例是两个样本平均数作比力的资料,当两组样底细等时,其样本巨细的预计公式为(3615):

 n=每组例数,t005=表中查出的尺度值,s=合并尺度差,x1-x2=两组均数差。
②当n≥30时,查表得出t005=20,因x1-x2=475,s=1391,代入公式(3615):

③结论:每组需要视察69例才气使两组均数差异有显著意义。

网站地图